Доступно с лицензией Geostatistical Analyst.
Индикаторный кригинг предполагает модель,
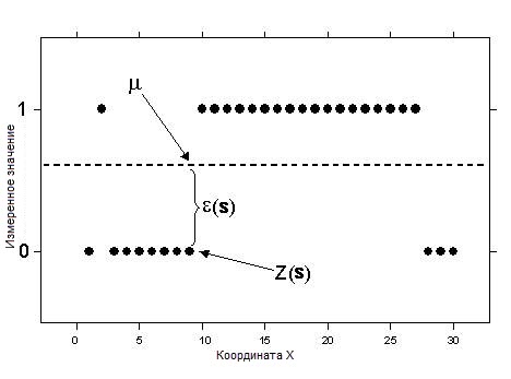
I(s) = µ + ε(s),в которой µ является неизвестной константой, а I(s) является двоичной переменной. Создание двоичных данных может происходить с использованием порогового значения для непрерывных данных; наблюдаемые данные могут составлять 0 или 1. Например, можно иметь образец, состоящий из информации о характере точки — является она лесным местом обитания или не является. В этом случае двоичная переменная указывает принадлежность к классу. С использованием двоичных переменных процесс индикаторного кригинга выполняется так же, как ординарный кригинг.
На следующем рисунке данные преобразованы в двоичные значения с помощью порогового значения (см. раздел Работа с пороговыми значениями).

Наблюдаемые двоичные данные представлены открытыми квадратами. Неизвестное среднее для всех индикаторных переменных показано пунктирной линией (это µ). Это сравнимо с простым кригингом. В случае ординарного кригинга предполагается, что ε(s) автокоррелирована. Обратите внимание на следующее: из-за того, что индикаторные переменные составляют 1 или 0, проинтерполированные значения будут находиться в диапазоне от 0 до 1, а прогнозируемые значения индикаторного кригинга могут быть интерпретированы как вероятности того, что переменная составит 1 или окажется в классе, который определяется значением 1. Если при создании индикаторной переменной использовалось пороговое значение, то результирующая карта проинтерполированных значений покажет вероятность превышения (или непревышения) порогового значения.
Возможно создать несколько индикаторных переменных для одного набора данных, выбрав несколько пороговых значений. В этом случае одно пороговое значение создает главную индикаторную переменную, а другие индикаторные переменные используются как второстепенные в кокригинге.
Индикаторный кригинг может использовать либо вариограммы, либо ковариации, т. е. математические формы, используемые для выражения автокорреляции.